Análisis de normalidad

Métodos para contrastar la normalidad de una muestra de datos.

Análisis de la homogeneidad de varianza (homocedasticidad)

Formas de contrastar la igualdad de varianza entre dos o más grupos.

T-test

Test estadístico para comparar las medias de dos grupos.

Test estadístico para proporciones

Test estadístico para variables dicotómicas (proporciones) e intervalos de confianza.

Test Wilcoxon-Mann-Whitney

Alternativa no paramétrica al t-test de medias independientes.

Test de los rangos con signo de Wilcoxon

Test de rangos de Wilcoxon como alternativa no paramétrica al t-test de medias dependientes.

ANOVA con R

Apuntes de cómo realizar los distintos tipos de ANOVA en R para comparar múltiples medias.

Test de Kruskal-Wallis

Test de Kruskal-Wallis como alternativa no paramétrica al ANOVA de datos independientes.

Test de Friedman

Test de Friedman como alternativa no paramétrica al ANOVA de datos dependientes.

Test binomial exacto, test multinomial y test chi-cuadrado goodnes of fit

Apuntes sobre test estadísticos para variables cualitativas en R (parte 1).

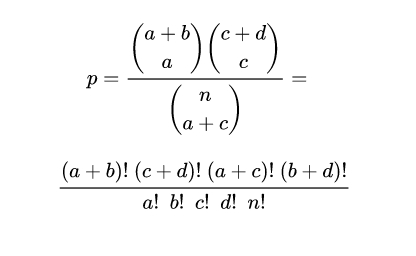
Test exacto de Fisher, chi-cuadrado de Pearson, McNemar y Q-Cochran

Apuntes sobre test estadísticos para variables cualitativas en R (parte 2).

Resampling: Test de permutación, Simulación de Monte Carlo y Bootstrapping

Información sobre las diferentes técnicas de resampling y su aplicación como test estadísticos.

Comparaciones múltiples: corrección de p-value y FDR

Múltiples test estadísticos: inflación del error, corrección de p-value y FDR.

Comparación de distribuciones: test Kolmogorov–Smirnov

Métodos estadísticos para comparar la distribución de variables continuas.

Hacer una donación

¡Colabora en mantener las puertas del conocimiento abiertas! Si nuestros artículos te han ayudado a progresar en tu formación o carrera profesional, apreciaríamos enormemente tu apoyo. Tu contribución nos permite mantener esta plataforma accesible para todos y crear nuevos contenidos. Puedes hacerlo a través de PayPal o Github Sponsors ¡Son solo un par de clicks 😊😊!

Información de contacto